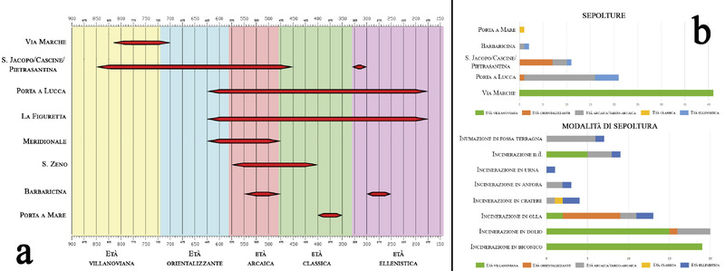
a) Grafico illustrativo della frequentazione delle aree necropolari nella diacronia. b) Grafico a barre con distribuzione delle sepolture rinvenute (in alto) e delle modalità di sepoltura (in basso) nella diacronia
Part of Per una ricostruzione dei paesaggi funerari in Etruria settentrionale: i casi di Pisa e Volterra
Position: 9271 (2 views)
